4학년 1학기 전공/컴파일러
[컴파일러] Chapter 2. Lexical Analysis
시데브
2025. 3. 20. 02:47
경희대학교 허선영 교수님의 컴파일러 수업을 기반으로 정리한 글입니다.
1. Front-end Compilation
- source program -> target program 번역 과정에는 IR(Intermediate Representation)이라는 중간 언어 번역 과정 존재
- Front-end Compilation: source program -> IR
- Lexical Analysis
- Syntax Analysis
- Semantic Analysis
- IR Code Generation
- Back-end Compilation: IR -> target program
2. Lexical
- 언어를 이해하는 첫 번째 step
- words를 구분 -> the smallest unit above letters
- ex) This is a sentence -> white space 기준 token 단위로 분리
- stream of characters로부터 stream of names, keywords, and punctuation marks 생성

- tokens 사이에 존재하는 white space와 comments(주석) 제외
2. 1. Lexical Token
- Token: unit으로 취급되는 sequence of characters

- some tokens have associated semantic information
- ID, NUM, REAL -> 추가적인 정보 저장 필요
- num1이라는 이름의 NUM 변수 -> num1이 어떤 값을 내포하고 있는지 추가적으로 정보 필요
- 반면 punctuation mark(,)는 그 자체로 의미 파악 가능
- reserved words cannot be used as identifiers(e.g., IF, VOID, RETURN)

2.2. Lexical Analyzer
- Lexical Analyzer(Lexer): lexical analysis를 수행하는 프로그램
- compilation의 first phase
- how to implement a Lexer?
- write lexer from scartch
- use lexical analyzer generator

- each lexical token을 regular expressions라는 formal한 언어로 정의
- generator는 전달받은 regular expressions를 deterministic finite automata로 변환
- automata?: input이 들어오면 output을 내는 machine, 해당 표현 방식 중 dfa 존재

Automata
- automata theory: 계산 능력이 있는 추상 기계와 그 기계를 이용해서 풀 수 있는 문제들을 연구하는 컴퓨터과학의 분야
-> 여기서 abstract machine을 automata 또는 automaton이라 부름
Deterministic Finite Automata(DFA)
- 각 symbol에 대해서 유일한 상태 변화를 취하는 특징을 가짐
- Deterministic -> 계산의 유일함
출처:
https://ko.wikipedia.org/wiki/%EA%B2%B0%EC%A0%95%EB%A1%A0%EC%A0%81_%EC%9C%A0%ED%95%9C_%EC%83%81%ED%83%9C_%EA%B8%B0%EA%B3%84
https://ko.wikipedia.org/wiki/%EC%98%A4%ED%86%A0%EB%A7%88%ED%83%80_%EC%9D%B4%EB%A1%A0
오토마타 이론 - 위키백과, 우리 모두의 백과사전
위키백과, 우리 모두의 백과사전. 오토마타 벤 다이어그램 (각 레이어를 클릭하면 해당 글로 이동합니다.) 결정적 유한 오토마타의 예. S1, S2는 상태이고, 1과 0은 기계가 입력으로 받아들이는 문
ko.wikipedia.org
3. Regular Expression
- Language: A set of strings
- String: 유한한 알파벳에서 선택한 symbols의 유한한 sequence -> regular expression으로 stirng을 단어로 표현 가능
- symbols의 ex) ASCII
- Regular Expression: 문자열들의 집합을 표현하는 방식
3.1. Basic Notations
- symbol: 하나의 알파벳을 의미
- a -> { a }
- 1 -> { 1 }
- Epsilon ϵ: empty string을 의미
- ϵ -> { }
- Alternation M | N: M or N, 즉 M과 N의 합집합을 의미
- a | b -> { a, b }
- Concatenation MN: M과 N의 concatenated 집합
- ( a | b )( a | c ) -> { aa, ac, ba, bc }
- Th( is | at ) = { This | That }
- Repetition M* (kleene closure): M 집합에 속하는 모든 strings를 반복 조합해서 나올 수 있는 모든 집합 -> infinite
- ( a | b )* -> { ϵ, a, b, aa, ab, ba, bb, aaa, aab, ... }
3.2. Additional Notations
- [ abcd ] : ( a | b | c | d )
- [ b - g ] : [ bcdefg ]
- [ b-gM-Qkr ] : [ bcdefgMNOPQkr ]
- M? : ( M | ϵ )
- a?b : ( a | ϵ )b = { ab, b }
- M+ : MM*
- "a.+*" : 문자열을 인용
3.2. Examples
- ( 0 | 1 )* : Binary numbers -> { ϵ, 0, 01, 10, ... }
- ( a | b )*aa( a | b )* : { aa, aab, baa, aaa, ... }
- aa가 ( a | b )* 사이에 들어가는 이유? -> ( a | b )*aa의 경우 aa가 뒤에 붙어야 한다는 제한이 있지만, ( a | b )*aa( a | b )*의 경우 aa 위치에 제한이 없음
- Lexical tokens
| Token Type | Regular Expression |
| IF | if |
| ID | - [ a - z ][ a-z0-9 ] - 대문자 허용하는 경우: [ a - zA - Z ][ a - zA - Z0 - 9 ]* |
| NUM | - [ 0 - 9 ]+ -> { 0, 01, 10, 20, 030, ... } - 앞에 0이 나오는 경우 제외 -> 0 | [ 1 - 9 ][ 0 - 9 ]* - 단독으로 0인 경우를 제외한 0이 나오는 경우 모두 제외 |
| REAL | ([ 0 - 9 ]+"."[ 0 - 9 ]*) | ([ 0 - 9 ]*"."[ 0 - 9 ]+) - ([ 0 - 9 ]+"."[ 0 - 9 ]*): 소수점 뒤 숫자가 존재하지 않을 수도 있음 -> 123. - ([ 0 - 9 ]*"."[ 0 - 9 ]+): 소수점 앞 숫자가 존재하지 않을 수도 있음 -> .456 - .만 존재하는 경우를 제외한 모든 경우의 수 존재 |
- regular expression으로 표현 불가능한 language 존재
- String of a's and b's where are more a's than b's
- { aab, aaab, abaa, ... } -> RE 표현 불가
4. Finite Automata
- Finite Automata: limited memory를 가진 automata
- Finite number of states
- A start state
- One or more final states
- edge -> labeled with a single symbol

4.1. Deterministic Finite Automata
- Deterministic Finite Automata(DFA)
- 각 symbol에 대해서 유일한 상태 변화를 취하는 특징을 가짐
- Deterministic -> 계산의 유일함

4.2. Nondeterministic Finite Automata
- NFA
- node를 떠나는 edges 같은 label로 설정 가능
- ϵ label 설정 가능
- RE에서 직접적으로 DFA로 변환하는 과정은 어려울 수 있다. -> 따라서 RE에서 NFA로의 변환 과정을 거치고, 이후 DFA로 변환하는 것이 일반적
- Converting RE to NFA - Rules

- Converting RE to NFA - Example

- Converting NFA to DFA
- NFA는 모든 가능성을 용인하기 때문에, DFA보다 비효율적임 -> 때문에 보통 DFA로 변환하여 사용

4.3. Converting NFA to DFA
- Basic Functions

- edge(s, c): state s에서 symbol c를 따라가서 도달할 수 있는 모든 states의 집합
- edge(1, a) = { 2 }
- edge(2, ϵ) = { 5 }
- closure(S): states의 집합 S에 속하는 모든 states로부터, 해당 inputs를 소모하지 않고 도달할 수 있는 모든 NFA의 states의 집합(= ϵ만으로 도달할 수 있는 모든 states의 집합)
- closure({1}) = {1} -> 1번 state로부터 epsilon을 소모하지 않고 이동 가능한 states는 X
- closure({2}) = {2, 3, 5}
- closure({1, 4}) = {1, 3, 4, 5}
- DFAedge(d, c): d로부터 시작해서, symbol c와 ϵ만을 소모해서 도달할 수 있는 모든 NFA states의 집합(edge를 사용해서 c로 갈 수 있는 states를 구하고, closure를 통해서 그 edges로부터 갈 수 있는 모든 states의 집합을 얻을 수 있음)
- 𝐷𝐹𝐴𝑒𝑑𝑔𝑒( 𝑑, 𝑐 )= 𝑐𝑙𝑜𝑠𝑢𝑟𝑒(∪𝑠∈𝑑 𝑒𝑑𝑔𝑒 𝑠, 𝑐 )
- DFAedge({1}, a) = {2, 3, 5}
- Algorithm

- 하나의 state에 대해서 모든 symbols(characters)를 확인하고, 해당 state에 대해서 모든 transition을 확인했기 때문에, 다음 state로 넘어가서 확인
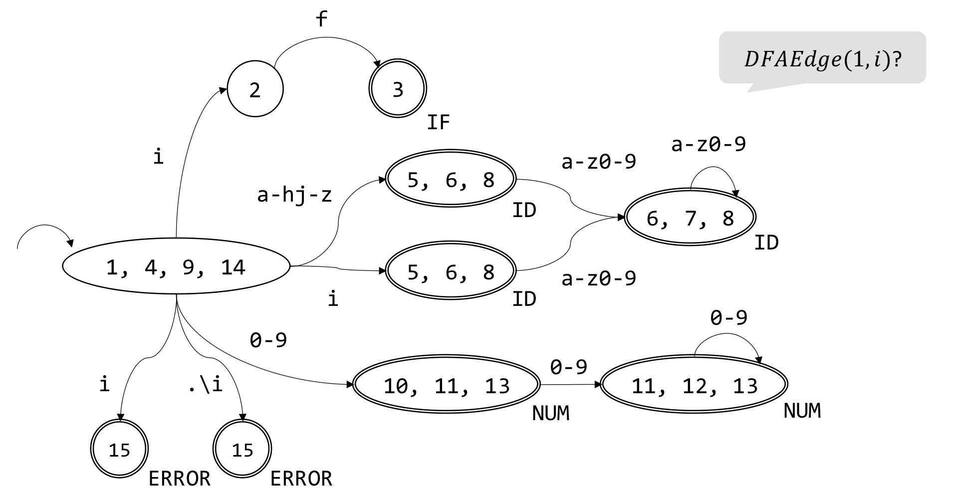
- Example

-> closure({1})을 통해서 starting state를 구함




-> symbol i에 대해서 start state로부터 i, a-z, error로 각각 향할 수 있음




- states s1 and s2 are equivalent

-> 최적화를 통해서 DFA로의 변환을 쉽게 만들 수 있음

-> 최적화 적용
- Rule Disambiguation
- "if8"은 if와 8로 나눌 것인지, if8로 생각할 것인지 애매한 부분 존재
- Longest Match: regular expression과 match되는 longest initial substring of input이 다음 토큰으로 선택됨
- if8 matches ID("if8"), not iF() and NUM(8)
- 가장 최근 매칭된 final state(token)을 저장
- 끝까지 렉싱을 시도하다가 실패하면, 다시 그 마지막 토큰으로 돌아옴
- Rule Priority: rules 간에 우선순위 적용
- if 키워드를 ID("if")가 아닌 IF()로 매칭하고 싶을 때, 우선순위 설정 가능
5. How Does Lexer Work?


-> final state에 도달했을 때, 정해진 action을 수행
- IF: if라는 토큰을 생성
- ID: id라는 토큰을 생성
- continue(): 무시하고 계속 수행
- error(): 에러 발생

6. Real-world Lexer Generators
- DFA를 만드는 과정 필요 X
- 그저 Regular Expression을 정의해놓고, 그에 해당하는 Actions만 잘 구현하면 됨

참고자료
- Appel, Andrew W. 저자(글), Cambridge University Press · 2004년 07월 08일
728x90
반응형