[컴파일러] Chapter 3. Syntax Analysis(Part 1)
경희대학교 허선영 교수님의 컴파일러 수업을 기반으로 정리한 글입니다.
1. Front-end Compilation
- Lexical Analysis
- 문장을 토큰 단위로 분류하는 과정
- 정규 표현식을 사용하여 문장을 의미 단위로 구분
- Syntax Analysis
- Lexical Analysis 과정에서 생성된 토큰을 기반으로 parse tree를 생성

- Semantic Analysis
- 프로그램의 선언과 진술이 의미론적으로 정확한지 확인하는 작업
- syntax analysis와 달리 type checking 진행
2. Syntax Analysis
- Abstract Syntax Tree(AST)를 빌드 -> token stream이 valid한지 체크
- if the token stream is not valid -> syntax error & recover
- ex) c++에서는 if 다음에 () 괄호 구조가 등장하지 않으면 문법 오류 -> syntax error

- expression: value를 가지는 표현
- 1 + 2 -> 3
- statement: 명령, side-effect
- c = 1 -> 명령 자체가 따로 값을 가지진 않음
- ex) print("x")라는 명령어 자체는 expression X, but x라는 string은 expression

-> 토큰의 가장 말단에는 token이 위치
-> IF-THEN-ELSE도 어떤 값을 가지는 건 아니므로 statement
- Why do we need a parser in addiotion to a lexer? -> 왜 Lexer에서는 문법을 체킹하지 못하는가
- 몇몇 프로그램은 recursive structures를 가질 수 있음
- Finite automata는 recursive contructs를 잡아내지 못함
- ex) digits = [0-9]+, expr = {digits} | "(" {expr} "+" {expr} ")"
- (((1+2)+3)+4)와 같은 구조는 괄호가 얼마나 깊게 중첩되었는지 기억해야 함 -> but N개의 상태를 가지는 Finite Automata는 N보다 더 깊게 괄호가 중첩되면 기억이 불가능함
3. Context-Free Grammar
- Regular Expressions: 토큰의 lexical structure 결정
- Context-Free Grammars(CFG): 프로그램의 syntactic structure 결정


- Grammar: set of productions
- production: 하나의 symbol이 여러 개의 symbol로 확장되는 구조
- Symbol에는 2가지 종류가 존재
- Terminal: lexical anlysis에서 정의한 Token -> 확장이 불가능한 symbol
- Nonterminal: production의 left-side에 위치한 symbol -> 확장이 가능한 symbol
- One of the nonterminals가 grammar의 start symbol이 됨
- example: Syntax for Straight-line program
- straight-line program: 하나의 statement 당 세미콜론으로 한 줄씩 존재하는 프로그램


3.1. Derivation
- Derivation(Execution of Parsing)
- start symbol에서 시작
- nonterminal을 right-hand sides를 이용하여 교체
- Derivation을 수행하는 2가지 방식
- Leftmost Derivation: leftmost nonterminal 교체 in each step
- Rightmost Derivation: rightmost nonterminal 교체 in each step

-> leftmost or rightmost derivation
-> Start Symbol에서 시작해서 주어진 program과 동일하게 derivation 성공 시에 well-formed program


-> leftmost derivation, rightmost derivation
3.2. Parse Tree
- derivation의 시각적 표현
- internal node(leaf nodes를 제외한 nodes): nonterminal
- leaf node: terminal

3.3. Ambiguous Grammars
- parse tree를 통해서 grammar가 ambiguous한지 판단
- 같은 프로그램을 2개 이상의 parsing trees로 유도 가능 -> A grammar is ambiguous

-> grammar 재작성 필요!
- Problem
- Different parse trees may have different meanings -> resulting in different interpreted results
- example) 1 + 2 * 3

-> 둘의 결과가 다름!!
- Solution: 문법의 재정의
- operators에 상대적 우선순위 부여
- *는 +보다 높은 우선순위 가짐
- 같은 우선순위를 가지는 경우에는 associativity로 묶기
- 1 + 2 + 3 -> ( 1 + 2 ) + 3 or 1 + ( 2 + 3 )
3.4. Inefficiency in Parse Tree
- Concrete parse tree
- internal node - nonterminal
- leaf node - terminal
- Concrete parse tree는 사용 불편
- 불필요한 터미널이 많아짐
- Make parse trees simple -> Abstract Syntax Tree(AST)

-> tree 구조가 완성되고 나서는 (, ), ;, := 등의 symbol 정보는 필요없어짐
- Abstract Syntax Tree(Abstract Parse Tree): concrete parse tree에서 불필요한 토큰 제거

- example)

3.5. End-of-File Marker
- parsing의 종료를 위해서는 EOF 존재해야 함
- program이 file 형태로 존재하기 때문
- EOF marker: $
- S' -> S$
4. Recursive Descent Parsing(Predictive Parsing)
- 다음 입력 심볼만 보고, 어떤 production을 적용할지 결정하는 기법
- LL(k) parsing - token을 보고 미리 예측, k는 token의 개수
- 각 subexpression의 첫 번째 terminal symbol만 보고, 어떤 production을 사용해야 할지 결정할 수 있을 때 사용
- Example


-> Lookahead symbol이 IF면 if E ...로, BEGIN이면 begin S L로 확장
- eat(): 현재 토큰이 expected token과 일치하면, 그 토큰을 소비(consume)하고 다음 토큰으로 넘어가는 함수
- consume? ['number', '+', 'number'] 상태에서, 파서가 처음에는 tokens[0]를 pointer로 가리키고 있다가, consume 처리 시에 해당 토큰을 처리됐다고 보고 포인터를 다음 토큰으로 이동
4.1. Contructing a Parser
- Basic Functions
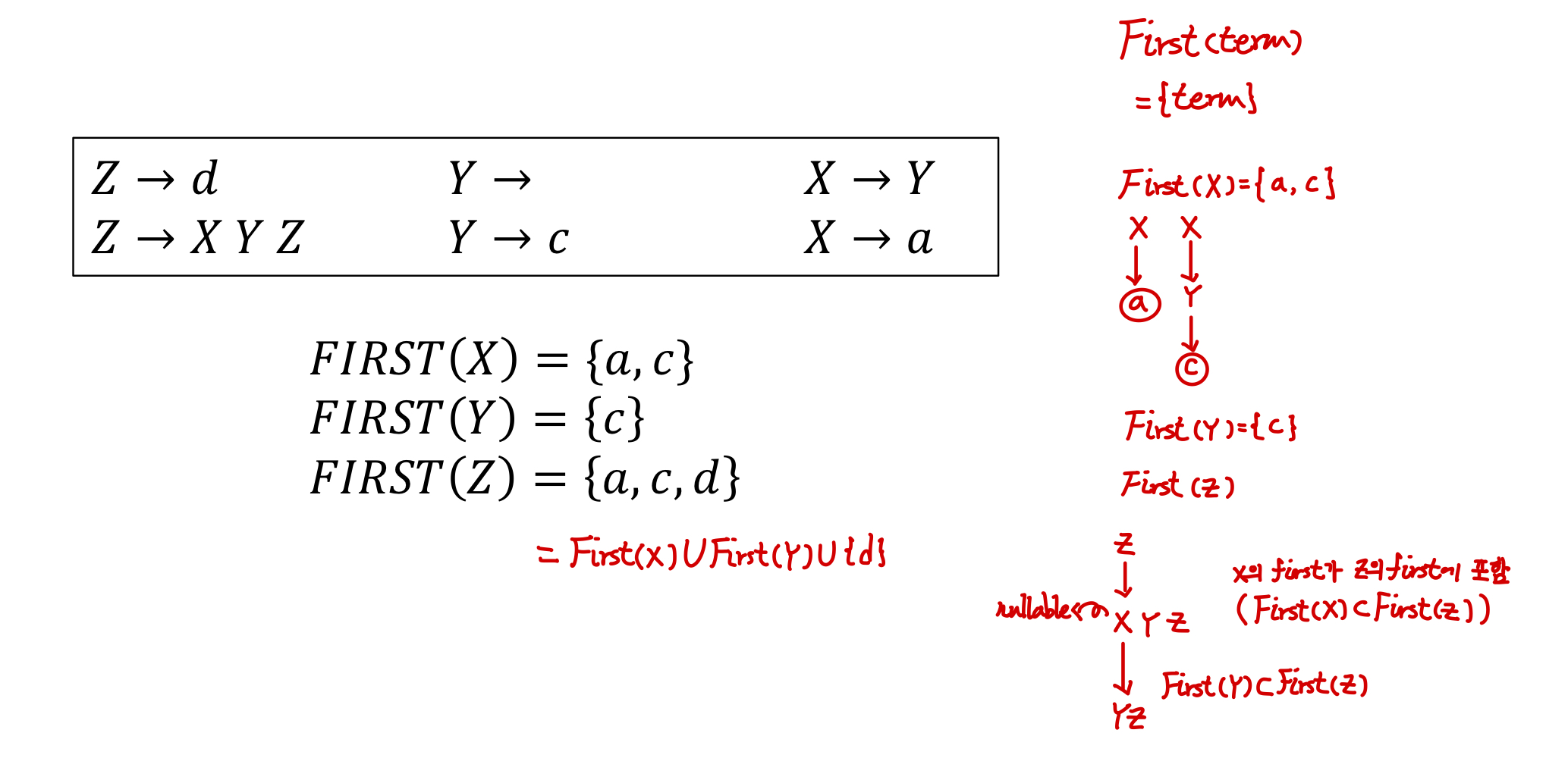
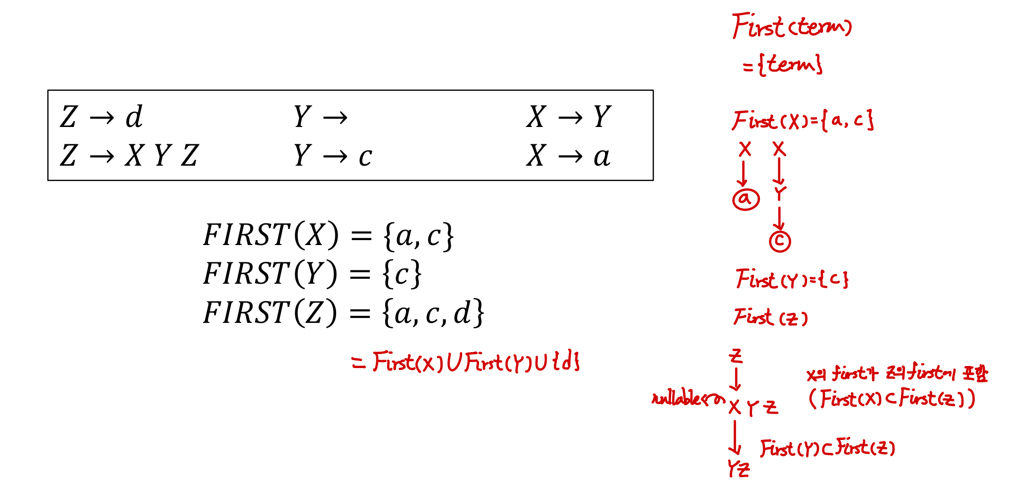
- nullable(X): X로부터 empty string(ε) 유도가 가능하면, X는 nullable
- production에 존재하는 모든 symbol이 nullable -> 해당 Symbol은 nullable

-> Z가 terminal이 되려면 반드시 d로 확장해야 함
- FIRST(𝛾): 𝛾로부터 유도된 strings의 시작점에 위치할 수 있는 모든 terminals의 집합

- A -> B C D일 때
- B -> ε | b
- C -> c
- D -> d
- FIRST(B)는 FIRST(A)에 포함, 추가적으로 B가 nullable이므로 B 자리가 비고, 그 자리에 C가 들어갈 수도 있으므로 FIRST(C) 또한 FIRST(A)에 포함됨

- FOLLOW(X): derivation 후에 X 뒤에 위치할 수 있는 모든 terminal symobols의 집합
- Z -> XYZ(Z가 start symbol)
- X -> Y: FIRST(Y)는 FOLLOW(X)에 포함
- Y가 nullable이므로, FIRST(Z)는 FOLLOW(Z)에 포함
- X -> 𝛾Y
- FOLLOW(X)는 FOLLOW(Y)에 포함, Y의 마지막과 X의 마지막이 동일하기 때문
- 𝑋 → 𝛾1𝑌𝛾2
- FIRST(𝛾2)는 FOLLOW(Y)에 포함
- 𝛾2가 nullable일 때, FOLLOW(X)는 FOLLOW(Y)에 포함
- Z -> XYZ(Z가 start symbol)


- Example
1) Initial

2) Interation 1

3) Iteration 2

4) constructing a parser
- nullable, first, follow 계산 이후 contructing a parser
- nullable, first, follow -> predictive parsing table
- S -> 𝛾
- if 𝛾 is nullable -> row: S, col: FOLLOW(𝛾)에 포함되는 모든 요소
- if 𝛾 is not nullable -> row: S, col: FIRST(𝛾)에 포함되는 모든 요소



- Another Example

- nullable, first, follow table
- 간단한 것들(소문자 symbols) 위주로 테이블에 삽입
- 이후 대문자 symbols 사이의 관계 rules 정립 -> 테이블 반영
- 정립한 rules가 table 내에서 모두 성립하는지 점검
- each production에 대해서 predictive parsing table 빌드

-> 고유한 row, col에 대해서 중복되는 production 발생
-> LL(1)으로 parsing 불가능한 Grammar
4.2. Left-Recursion Problem
- problem

- solution: X를 𝛼X'으로 변환

4.3. Left Factoring
- problem: 2개의 productions가 같은 symbol로 시작
- S -> if E then A
- S -> if E then A else A
- FIRST(if E then A) = FIRST(if E then A else A)
- solution: Left Factoring
- S -> if E then A V
- V -> ε
- V -> else A
참고자료
컴파일러 (1.Lexical Analysis)
주어진 언어로 작성된 컴퓨터 프로그램을 다른 언어의 동등한 프로그램으로 변환하는 프로세스이다.보통 high-level 프로그래밍 언어를 실행 프로그램으로 만들기 위한 lower level언어(어셈블리어,
velog.io
컴파일러 (2.Syntax Analysis)
쉽게 말하면 lexical analysis의 결과로 만들어진 token들을 문법에 따라 분석하는 parsing 작업을 수행해서 parse tree를 구성하는 작업이다.parse tree를 만들기 위해서 사용하는 문법이다.여기서 문법을 쉽
velog.io
컴파일러 (3.Sematic Analysis)
의미 분석이란, 프로그램의 선언과 진술이 의미론적으로 정확한지 확인하는 작업이다.즉, 프로그램의 의미가 명확하고 제어 구조와 데이터 형식을 사용해야 하는 방식과 일치하는지 확인하는
velog.io