KHUDA 4th/머신러닝 기초 세션
Chapter 03-1: k-최근접 이웃 회귀
시데브
2023. 8. 3. 17:56
k-최근접 이웃 회귀를 이용하여 농어의 무게를 예측하는 모델을 만들어보자.
k-최근접 이웃 회귀
- 지도 학습 알고리즘은 크게 분류와 회귀(regression)로 나뉜다.
- 회귀분석: 데이터 변수들 간에 함수 관계를 파악하여 통계적 추론을 하는 기술, 다시 말해서 독립변수에 대한 종속변수값의 평균을 구하는 방식
- k-최근접 알고리즘은 회귀에도 작동 -> 최근접 샘플 k개의 평균으로 예측 타깃값 결정
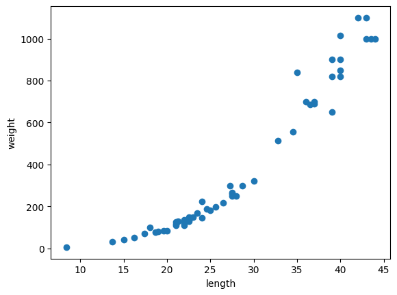
농어의 무게를 예측하는 모델
데이터 준비
import numpy as np
perch_length = np.array([8.4, 13.7, 15.0, 16.2, 17.4, 18.0, 18.7, 19.0, 19.6, 20.0, 21.0,
21.0, 21.0, 21.3, 22.0, 22.0, 22.0, 22.0, 22.0, 22.5, 22.5, 22.7,
23.0, 23.5, 24.0, 24.0, 24.6, 25.0, 25.6, 26.5, 27.3, 27.5, 27.5,
27.5, 28.0, 28.7, 30.0, 32.8, 34.5, 35.0, 36.5, 36.0, 37.0, 37.0,
39.0, 39.0, 39.0, 40.0, 40.0, 40.0, 40.0, 42.0, 43.0, 43.0, 43.5,
44.0]) #농어의 길이
perch_weight = np.array([5.9, 32.0, 40.0, 51.5, 70.0, 100.0, 78.0, 80.0, 85.0, 85.0, 110.0,
115.0, 125.0, 130.0, 120.0, 120.0, 130.0, 135.0, 110.0, 130.0,
150.0, 145.0, 150.0, 170.0, 225.0, 145.0, 188.0, 180.0, 197.0,
218.0, 300.0, 260.0, 265.0, 250.0, 250.0, 300.0, 320.0, 514.0,
556.0, 840.0, 685.0, 700.0, 700.0, 690.0, 900.0, 650.0, 820.0,
850.0, 900.0, 1015.0, 820.0, 1100.0, 1000.0, 1100.0, 1000.0,
1000.0]) #농어의 무게
import matplotlib.pyplot as plt
plt.scatter(perch_length, perch_weight)
plt.xlabel('length')
plt.ylabel('weight')
plt.show()

train_input = train_input.reshape(-1, 1) #첫 번째 크기가 나머지 원소 개수, 두 번째 크기가 1
test_input = test_input.reshape(-1, 1) #첫 번째 크기가 나머지 원소 개수, 두 번째 크기가 1
print(train_input.shape, test_input.shape)
(42, 1) (14, 1)
결정계수(R^2)
from sklearn.neighbors import KNeighborsRegressor #k-최근접 이웃 회귀 알고리즘을 구현한 클래스
knr = KNeighborsRegressor()
knr.fit(train_input, train_target)
print(knr.score(test_input, test_target)) #테스트 세트의 결정계수(R^2)
0.992809406101064
- 사이킷런에서 구현한 k-최근접 이웃 회귀 알고리즘에서 .score()함수를 통해 얻는 정확도는 결정계수(coefficient of determination)로 구해진다.
결정계수 $R^2 = ((타깃 - 예측)^2 의 합)/((타깃 - 평균)^2 의 합) $
- 모델이 예측한 값이 타깃값에 가까워진다면, 결정계수는 1에 가까워진다.
평균 절댓값 오차
from sklearn.metrics import mean_absolute_error
test_prediction = knr.predict(test_input) #테스트 세트에 대한 예측
mae = mean_absolute_error(test_target, test_prediction) #테스트 세트에 대한 평균 절댓값 오차를 계산
print(mae)
19.157142857142862
- 예측이 타깃값과 19g 정도 다르다는 것을 알 수 있다.
과대적합 vs 과소적합
- 과소적합(underfitting): 모델이 너무 단순하여 훈련 세트에 적절히 훈련되지 않은 경우 모델이 훈련세트에 과소적합되었다고 한다. (훈련 세트보다 테스트 세트의 점수가 높거나 두 점수 모두 너무 낮은 경우)
- 과대적합(overfitting): 훈련 세트에만 잘 맞는 모델이라 테스트 세트 혹은 새로운 샘플에 대한 예측을 만들 때 잘 동작하지 않는 경우 모델이 훈련세트에 과대적합되었다고 한다. (훈련세트에서 점수가 굉장히 좋았는데, 테스트 세트에서 점수가 굉장히 나쁜 경우)
print(knr.score(train_input, train_target)) #훈련세트의 결정계수
0.9698823289099254
-> 훈련 세트보다 테스트 세트의 정확도가 높은 것으로 보아, 모델이 훈련 세트에 과소적합되었다.
knr.n_neighbors = 3 #모델을 더 복잡하게 만들면(이웃의 개수 k를 줄이면) 과소적합이 해결된다.
knr.fit(train_input, train_target)
print(knr.score(train_input, train_target))
print(knr.score(test_input, test_target))
0.9804899950518966
0.9746459963987609
-> 훈련 세트보다 테스트 세트의 점수가 낮아진 것으로 보아, 과소적합의 문제가 해결되었다.
더보기

n_neighbors = 1일 때

n_neighbors = 5일 때

n_neighbors = 10일 때
knr = KNeighborsRegressor()
x = np.arange(5, 45).reshape(-1, 1)
for n in [1, 5, 10]:
knr.n_neighbors = n
knr.fit(train_input, train_target)
prediction = knr.predict(x)
plt.scatter(train_input, train_target)
plt.plot(x, prediction)
plt.title('n_neighbors = {}'.format(n))
plt.xlabel('length')
plt.ylabel('weight')
plt.show()



-> n_neighbors 값이 커질수록 모델이 단순해지는 것을 확인할 수 있다.
참고자료
- 박해선, <혼자 공부하는 머신러닝+딥러닝>, 한빛미디어(주), 2022.2.4
- https://bangu4.tistory.com/100
[AI] Regression (회귀) 개념, 분류
1. 회귀분석 개념 ML Supervised Learning(지도학습)에 Classification에 이어, Regression의 개념과 사용알고리즘의 종류를 알아보자 회귀분석은 데이터 변수들간에 함수관계를 파악하여 통계적 추론을 하는
bangu4.tistory.com
728x90
반응형